Spread Footing Design Software
The SkyCiv Spread Footing Design software is developed to assist in designing isolated concrete spread footings (also known as pad footings). It can be used in place of traditional pad footing design spreadsheets. This user-friendly software evaluates footings subjected to axial force, transverse (horizontal) shear, and bending moment of either axis for both reinforced and mass concrete footings.
The footing is checked for axial force in compression as well as in tension (uplift. The spread footing software considers the stability checks for soil bearing on the footing subject to vertical load and biaxial moments. In addition, it performs the concrete design based on the Ultimate Strength Design Method of the ACI 318-19.
The Spread Footing Design Software supports the following design standards:
- US Standards: ACI 318-19 for Strip Footing Design
- Australian Standards: AS 3600:2018 Pad Footing Design
- Eurocode Standards: EN 1992-1-1 & EN 1997-1 for Pad Footing Design
This module is part of the SkyCiv Quick Design Library.
Table of Contents
About the Spread Footing Calculator
What is a Spread (Pad) Footing?
Spread footings, also known as isolated or pad footings, are shallow foundation elements designed to distribute concentrated loads from columns or pillars over a larger area of soil. This prevents soil bearing failure and is commonly used in small to medium structures such as residential buildings. Spread footings can be reinforced or unreinforced, depending on load and environmental requirements.
When to Use Spread Footings
The spread footing is by far the most economical solution to transmit the loads to the soil. Because the soil is generally much weaker than the supported columns, it must be demonstrated that it is able to resist the imposed stresses and that the consequent settlements are reasonable for the structure and its purpose. If the soil is not strong enough, then other solutions should be analyzed as raft foundations that have a larger area to spread the loads or piles that transmit the stresses to deeper and more resistant soil strata.
Types of Spread Footings
- Simple Footings: Most commonly used; rectangular or square.
- Stepped Footings: Used for higher loads.
- Sloped Footings: Also for higher loads.

Figure 1: Types of Spread Footings
The stepped and the sloped footings are mostly used for higher loads with thicknesses greater than 3ft or 4ft, but due to increasing labor costs, their use is currently less frequent.
In relation to the material, the spread footings can be divided into two groups:
- Plain concrete footings are ideally used for lighter structures and low-rise buildings with stable bearing soils.
- Reinforced concrete footings are used where heavier loads are acting or where durability is required due to the environment. They are used in heavier structures where the soil bearing capacity is rather low.
Spread Footing Loading
Spread footings typically support compression concentrated loads beneath single columns. The footing should be proportioned to sustain all the applied factored loads and induced reactions, which include axial loads, horizontal shear forces, and moments at the base. The soil bearing is checked using the permissible soil pressure determined from the available site data and geotechnical analysis using the unfactored service loads, including dead, live, wind, or earthquake loads, considering the critical combinations.
Spread Footing Reinforcement Details
Flexural reinforcement is normally placed at the bottom of the footing where tension stresses occur due to the soil reaction when a compressive axial load is applied to the column. The design is simplified, assuming that the footing is rigid and the soil behavior is elastic.
The main direction is always defined parallel to the longer side of the footing. The secondary direction is normally perpendicular to the main direction and parallel to the other side of the footing. Additionally, the reinforcement should also prevent shrinkage and temperature changes that are considered with a minimum reinforcement area.
Spread Footing Failure Modes
The spread footing failure modes can be classified as soil failures, stability failures, and structural failures.
Soil failures are grouped as soil bearing failures (as shown in Figure 2), but they can also include serviceability failures related to excessive differential settlements between adjacent footings or related to total settlements. Settlements occur in two stages, the first one being the immediate settlement and the second with the long-term settlement, known as consolidation.
The limit states governed by the structure include one-way shear failure, punching failure, bending failure, bearing failure, and inadequate anchorage. Some of them are described in Figure 2.
Finally, the stability failures should also be checked, which are independent of the soil bearing capacity.


Figure 1: Some Failure Modes in Spread Footings
Spread Footing Design Procedure Step-by-Step (ACI 318-19)
The design of spread footings involves several steps due to the various parameters and variables that affect the final dimensions and characteristics.
Step 1: Geotechnical investigation and considerations
The design of foundations generally requires the determination of the behavior and the stress-related deformability of the soil under the foundation. For this, the geotechnical properties of the soil should be determined, such as the grain-size distribution, the soil classification, plasticity, compressibility, and shear strength. This investigation aims to determine the suitability of the different types of foundations and the bearing capacity of the soils. This is normally done by performing the ultimate bearing capacity calculation and a settlement analysis that determines the allowable bearing pressure (qa) to avoid any type of soil bearing failures. If the suitability of a spread foundation is confirmed, the engineer can continue with the following step.
In addition to the soil bearing capacity, the foundation system must be safe against overturning, sliding, and avoid excessive uplift due to eccentricities in both main directions.
Step 2: Define the base area.
In the US, this is determined using the allowable stress and the service load combinations. The presumptive load-bearing values (IBC Table 1806.2) may also be used if permitted. The allowable stress is normally included in the geotechnical report, considering the bearing capacity and possible settlements. In a spread footing, the soil stress for a footing with an axial load (P) and moments (Mx, Mz) at the base can be calculated as shown in Figure 3. The equation shown is only valid when the full base is compressed, which is not always the case, mainly when the applied moments are large. In this case, there are several models that can be used to perform the analysis. The simplest one is the linear soil pressure distribution under a rigid footing. Several authors (i.e., Bellos and Bakas) have developed a solution for determining the maximum soil pressure. The final objective is to find a footing area where the maximum stress is less than the defined allowable stress (qmax<qa).

Figure 3: Soil Stresses
Step 3: Define the base thickness and calculation of the bending reinforcement.
Definition of the base thickness and calculation of the bending reinforcement. This is normally done by a trial-and-error procedure to avoid any structural failure. In this case, a footing thickness is adopted, and then it is checked for the bending and shear strength. In this step, the footing must be designed for bending moments, one-way and two-way shear caused by the soil pressure due to factored loads. A minimum depth of 6 in should be considered (ACI 318-19 c13.3.1.2), and a minimum concrete cover equal to 3 in for concrete cast against and permanently in contact with ground (ACI 318-19 c20.5.1.3.2). It is also important to consider the minimum footing thickness based on the development of the bars that start from the column face.

Figure 4: Spread Footing Moments
If the bending moment diagram is analyzed (see Figure 4) for a square footing with only a compression axial load in a column in the center, it appears that the maximum moment in the strip footing occurs under the middle of the column, but tests have shown that this is not correct because of the rigidity of the column. ACI code suggests (ACI 318-19, c13.2.7.1) computing it at the face of the column for reinforced concrete columns or at a section halfway from the face of the column to its center for masonry or mass concrete columns. In the calculations, it is only required to consider the upward pressure caused by the external loads applied to the footing. The self-weight and overburden soil weight should be neglected. Only the net pressures over the footing should be used for the structural design.
If the wall footing is loaded until it fails in shear, the failure will not occur on a vertical plane at the column face but rather at an angle approximately 45° with the column face, therefore the critical section for shear is calculated at a distance “d” from the face (ACI 318-19c13.2.7.2), being “d” the effective depth, see Figure 4. The effective depth is calculated as:

where h is the footing slab thickness, c is the cover, and db is the bar diameter. Note that in the secondary direction, the effective depth should also include the bar diameter of the main reinforcement.
Once the maximum bending moment (Mu) at the critical section has been determined, the required area of reinforcement (As) is determined in the same way as any flexural member. Although a footing is not a beam, it is desirable that it is ductile for flexure, and this can be done by limiting the net tensile strain in the tension reinforcement (εt) to a value larger than εty + 0.003 (ACI 318-19 c21.2.2, εty is equal to fy/Es).
With the former assumption, the required reinforcement area may be calculated with the following equations:

strength of the reinforcement, and Es is the modulus of elasticity of the steel reinforcement. The bending check is normally performed in both directions.
The one-way shear strength is normally calculated only considering the contribution of the concrete. Generally, for cost reasons, it is not advised to use shear reinforcement. Therefore, the shear calculated at the critical shear section should be larger than the strength resisted by the concrete. It is calculated using the equation given in Table 22.5.5.1(c) (ACI 318-19 c22.5.51)

Where ρw is the reinforcement ratio equal to As/(b×d,) λ is the modification factor to reflect the reduced mechanical properties of lightweight concrete, and ϕ is the shear reduction factor.
Step 4: Two-Way Shear Verification
Once the thickness of the footing is confirmed to resist flexure and one-way shear, and the adopted reinforcement is larger than the one required, we can continue with the following step, checking the punching shear (two-way shear).
The verification is done with stresses and, similar to the one-way shear, the criterion is to avoid any shear reinforcement due to economic reasons; therefore, only the strength of the concrete is considered. The strength is determined in accordance with ACI 318-19 c22.6.5.

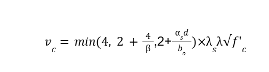
Where vu is the shear stress at the critical section, ϕ is the reduction factor and vc is the concrete shear strength. It is calculated according to Table 22.6.5.2

Where λs is the size factor, λ is the modification factor to reflect the reduced mechanical properties of lightweight concrete, β is the ratio of long to short sides of the column or concentrated load area and f’c is the specified compressive strength of concrete. bo is the perimeter of the critical section that normally is defined at a distance of d/2 from the faces of the column. It is important to mention that the shear stress (vu) should be calculated considering also the moment transmitted by the column to the foundation slab according to ACI 318-19 c8.4.4.2
Step 5: Calculation of the transfer forces.
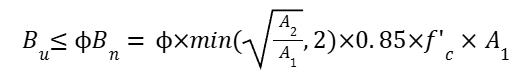
The vertical and horizontal forces transferred to the footing by bearing of the concrete or a combination of bearing and interface reinforcement should be checked. This requirement is detailed in Section 22.8 of the ACI 318-19:

Where A1 is the loaded area, A2 is the area of the lower base of the largest frustum of a pyramid, cone. The sides of the pyramid, cone, or tapered wedge shall be sloped 1 vertical to 2 horizontal. And ϕ is a reduction factor.
Step 6: Detailing
The last step is devoted to the reinforcement details as minimum and maximum spacing, development length to critical sections. The details are given in Chapter 25 of ACI 318-19.
Strip Footings vs Spread or Pad Footings
Strip footings are closely related to spread footings because both are shallow foundations that are frequently used in small to medium structures due to their low cost. Normally, strip footings are long and rectangular in shape, while pad footings are square, rectangular, or circular. In relation to the supported load, strip footings work normally with linear loads, while pad footings work with concentrated loads.
In relation to design, all of the checks that are performed for strip footings should also be done in spread or pad footings. Spread footings also require additional checks, such as the two-way shear check or punching check, that do not occur in strip footings.
Summary of Key Points
- Spread footings are economical and widely used for shallow foundations.
- Proper geotechnical investigation is essential.
- Design must address soil bearing, settlement, structural strength, and stability.
- Follow ACI 318-19 for all checks and detailing.
References and Further Reading
- ACI 318-19: Building Code Requirements for Structural Concrete
- IBC Table 1806.2: Presumptive Load-Bearing Values
- Bellos, J., & Bakas, N. (2017). Complete Analytical Solution for Linear Soil Pressure Distribution under Rigid Rectangular Spread Footings. International Journal of Geomechanics, 17(7), 04017005. doi:10.1061/(asce)gm.1943-5622.0000874.
- CRSI, Design Guide on the ACI 318 Building Code Requirements for Structural Concrete, CRSI (2020).
- Reinforced Concrete: Mechanics and Design 6th Edition by James K. Wight, James G. MacGregor.
Spread Footing Calculator FAQs
What Inputs are Required?
Various inputs are required to complete the design checks for the pad footings. The inputs include:
- Footing Dimensions and Material
- Loading
- Concrete Properties
- Reinforcement Properties
- Geotechnical Parameters
Once all the inputs have been filled out click the "Run" button in the top right to complete the spread footing design.
Does the Spread Footing Calculator include Stability Checks?
The program considers the stability checks for soil bearing on the footing subject to vertical load and biaxial moments. In addition, it performs the concrete design based on the Ultimate Strength Design Method in accordance with ACI 318-19. The soil pressures are calculated using the solution of Bellos and Bakas and the footing is assumed to be perfectly rigid with constant thickness. The pressures may also be calculated when only a part of the footing is in contact with the soil. This is especially useful for footings with small vertical loads and large moments, such as the case of footings at the corners of buildings under lateral loads.
Which Spread Footing Checks are Completed?
Maximum eccentricity, overturning, and sliding checks are performed by this spread footing software. The last check does not include the passive pressure contribution. It is always desirable to avoid concentration of stresses in the soil and thus the program has a warning status when the resultant is outside the middle third of the footing. In extreme cases where the load eccentricity generates ratios of maximum stress vs. mean stress greater than 6, the spread footing program triggers an error due to the large concentration of stresses and possible large rotation of the footing. In such cases, the user is advised to enlarge the footing to have a better distribution of stresses or use other solutions as strap footings are not considered in the scope of this tool.


